Utilization of dry distillers grains and charcoal as nitrogen fertilizer in corn
| dc.citation | Shroyer, K. J., S. A. Staggenborg, and J. L. Propheter. “Utilization of Dry Distillers Grains and Charcoal as Nitrogen Fertilizer in Corn.” Agronomy Journal 103, no. 5 (2011): 1321–28. https://doi.org/10.2134/agronj2010.0447. | |
| dc.citation.doi | 10.2134/agronj2010.0447 | en_US |
| dc.citation.epage | 1328 | en_US |
| dc.citation.issn | 1435-0645 | |
| dc.citation.issue | 5 | en_US |
| dc.citation.jtitle | Agronomy Journal | en_US |
| dc.citation.spage | 1321 | en_US |
| dc.citation.volume | 103 | en_US |
| dc.contributor.author | Shroyer, Kyle J. | |
| dc.contributor.author | Staggenborg, Scott A. | |
| dc.contributor.author | Propheter, J. L. | |
| dc.contributor.authoreid | sstaggen | en_US |
| dc.date.accessioned | 2012-07-11T21:54:44Z | |
| dc.date.available | 2012-07-11T21:54:44Z | |
| dc.date.issued | 2012-07-11 | |
| dc.date.published | 2011 | en_US |
| dc.description | Citation: Shroyer, K. J., S. A. Staggenborg, and J. L. Propheter. “Utilization of Dry Distillers Grains and Charcoal as Nitrogen Fertilizer in Corn.” Agronomy Journal 103, no. 5 (2011): 1321–28. https://doi.org/10.2134/agronj2010.0447. | |
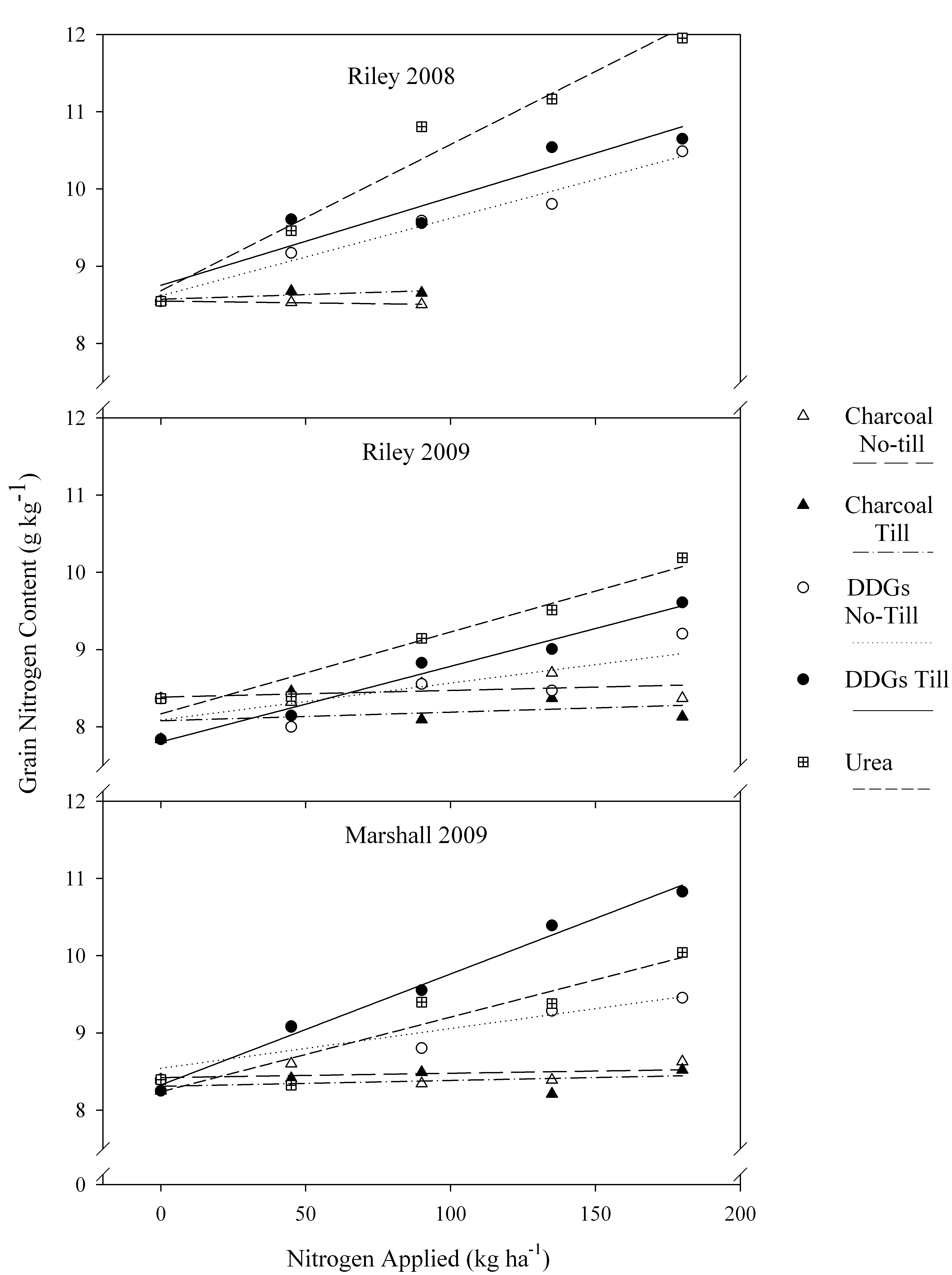
| dc.description.abstract | Increasing bio-energy production will result in increased by-products which will need proper disposal methods to prevent economic and/or ecological problems. Land application has potential for disposal and/or nutrient cycling if these by-products have crop nutritive value. Our objective was to compare the fertilizer effects of two by-products of bio-energy production, dry distillers grains with solubles (DDGs) and charcoal with urea in corn (Zea mays L.) and evaluate nutrient uptake. Treatments were DDGs under no-till and tilled at four location-years and charcoal under no-till and tilled at three location-years. No-till urea was used as a baseline at all location-years. Nitrogen rates ranged from 0 to 180 kg N ha[superscript]−1. All materials were spring applied before tillage and planting. Corn yields for DDGs and urea were similar across tillage treatments and locations. Corn yields over all charcoal rates and tillage treatments were the same as 0 kg N ha[superscript]−1. The charcoal, because of immobilization or lack of decomposition, did not contribute to the corn N nutrition. Neither material showed any negative effects on the corn yields. Stalk N, P, K, and grain N followed expected trends and had few effects compared with those from urea. Land application of DDGs and charcoal has merit for disposal/N cycling with DDGs being preferred for its N contribution. | en_US |
| dc.description.version | Article: Accepted Manuscript | |
| dc.identifier.uri | http://hdl.handle.net/2097/14023 | |
| dc.relation.uri | https://doi.org/10.2134/agronj2010.0447 | en_US |
| dc.rights | Copyright © 2011 by the American Society of Agronomy, Inc. | |
| dc.rights.uri | https://acsess.onlinelibrary.wiley.com/usage-permissions | |
| dc.subject | Dry distillers grains | en_US |
| dc.subject | Charcoal | en_US |
| dc.subject | Nitrogen fertilizer | en_US |
| dc.subject | Corn | en_US |
| dc.subject | Bio-energy production by-products | en_US |
| dc.title | Utilization of dry distillers grains and charcoal as nitrogen fertilizer in corn | en_US |
| dc.type | Text | en_US |
Files
Original bundle
1 - 5 of 7
Loading...
- Name:
- Staggenborg AgronJ 2011.pdf
- Size:
- 121.13 KB
- Format:
- Adobe Portable Document Format
- Description:
- Article text.
Loading...
- Name:
- Fig 1. Grain Yield.JPG
- Size:
- 1.67 MB
- Format:
- Joint Photographic Experts Group/JPEG File Interchange Format (JFIF)
- Description:
- Figure 1: Corn yield at four location-years in Kansas for tilled and no-till applied charcoal and dry distillers grains with solubles (DDGs) as well as no-till applied urea.
Loading...
- Name:
- Fig 2. Seed weight.JPG
- Size:
- 1.64 MB
- Format:
- Joint Photographic Experts Group/JPEG File Interchange Format (JFIF)
- Description:
- Figure 2: Corn seed weight at four location-years in Kansas for tilled and no-till applied charcoal and dry distillers grains with solubles (DDGs) as well as no-till applied urea.
Loading...
- Name:
- Fig 3. Stalk Nitrate.JPG
- Size:
- 1.17 MB
- Format:
- Joint Photographic Experts Group/JPEG File Interchange Format (JFIF)
- Description:
- Figure 3: Corn stalk N content at three location-years in Kansas for tilled and no-till applied charcoal and dry distillers grains with solubles (DDGs) as well as no-till applied urea.
Loading...
- Name:
- Fig 4. Stalk Phos.JPG
- Size:
- 1.28 MB
- Format:
- Joint Photographic Experts Group/JPEG File Interchange Format (JFIF)
- Description:
- Figure 4: Corn stalk P content at three location-years in Kansas for tilled and no-till applied charcoal and dry distillers grains with solubles (DDGs) as well as no-till applied urea.
License bundle
1 - 1 of 1
No Thumbnail Available
- Name:
- license.txt
- Size:
- 1.62 KB
- Format:
- Item-specific license agreed upon to submission
- Description: