Utilization of dry distillers grains and charcoal as nitrogen fertilizer in corn

Abstract

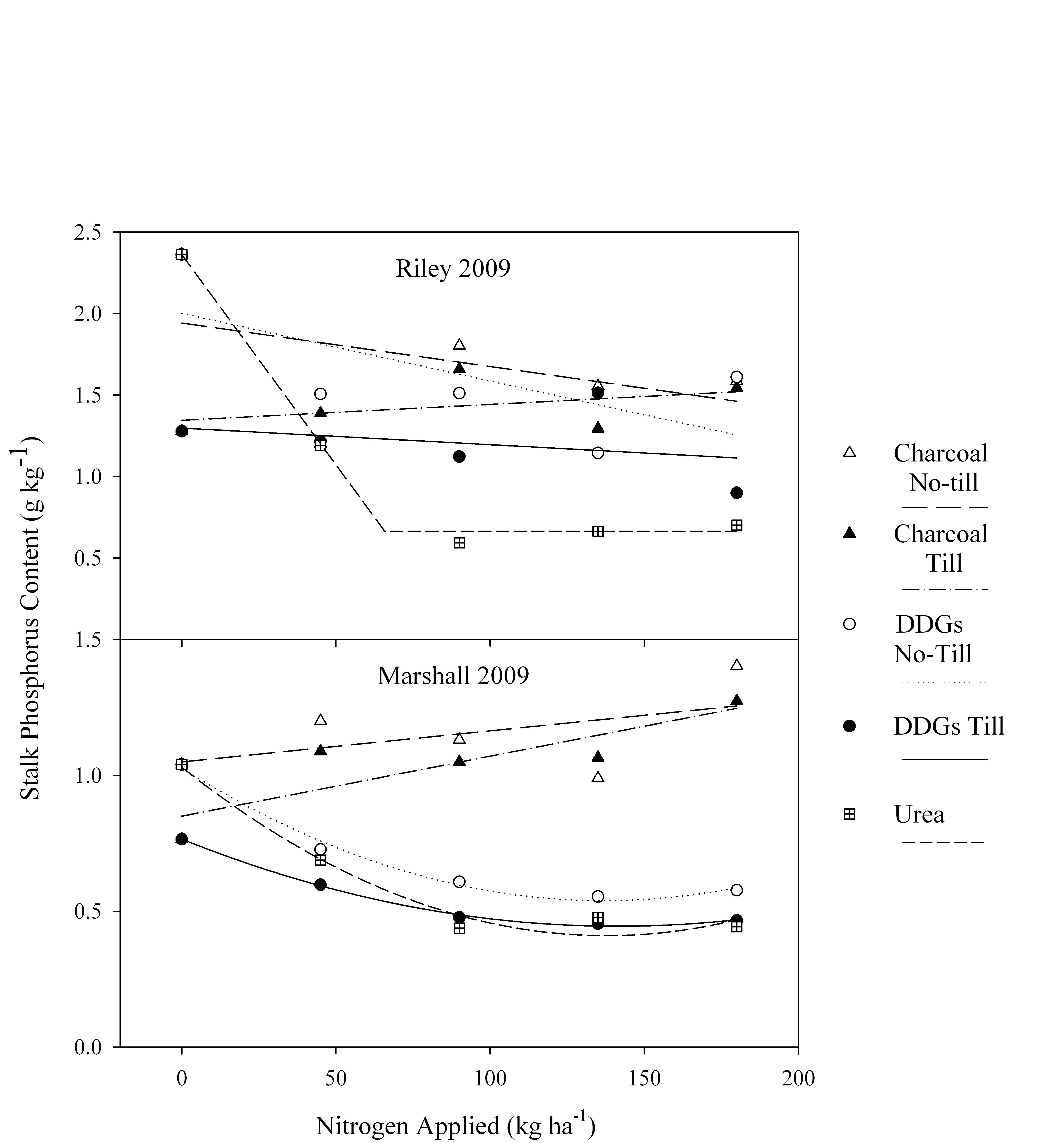
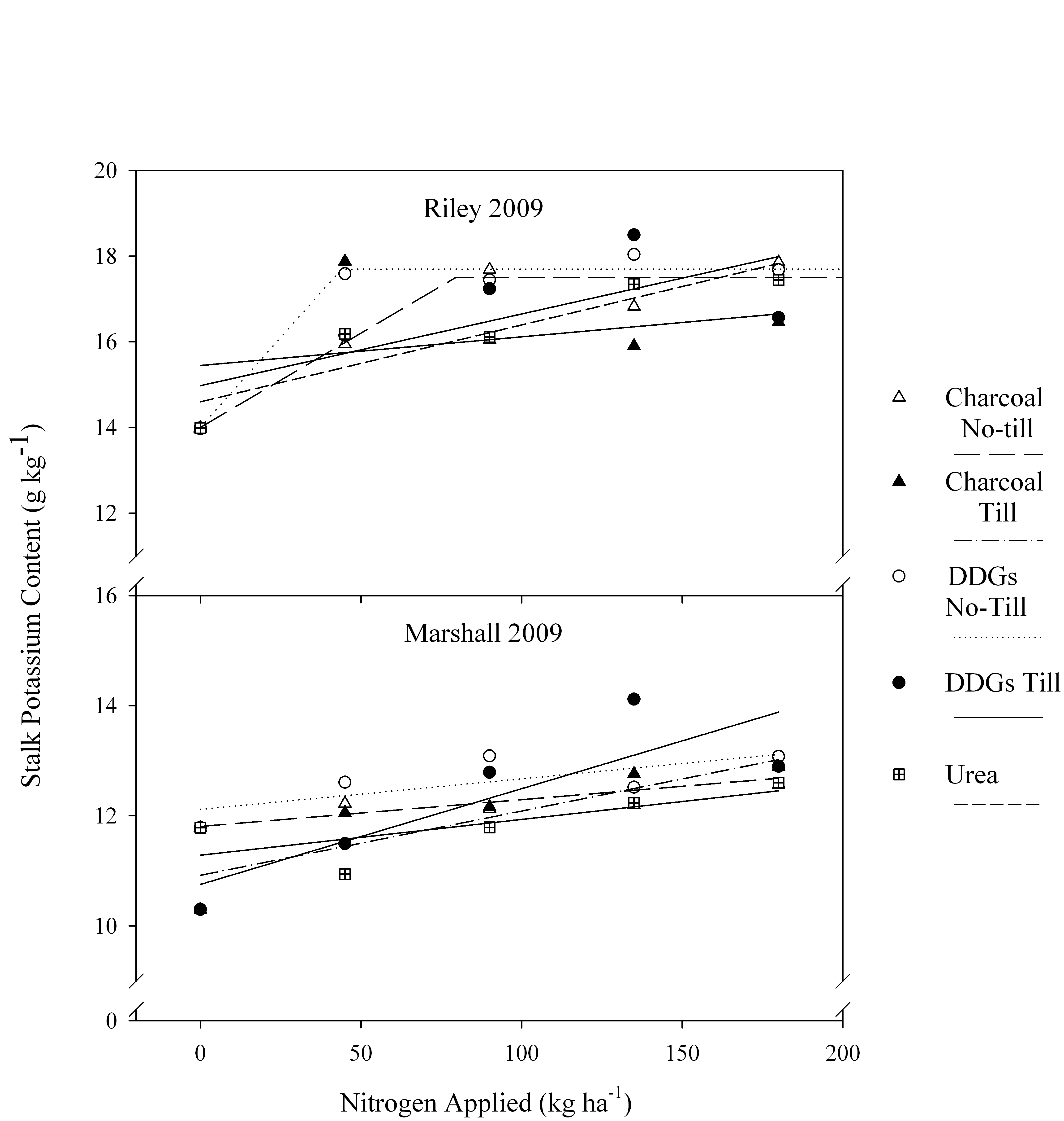
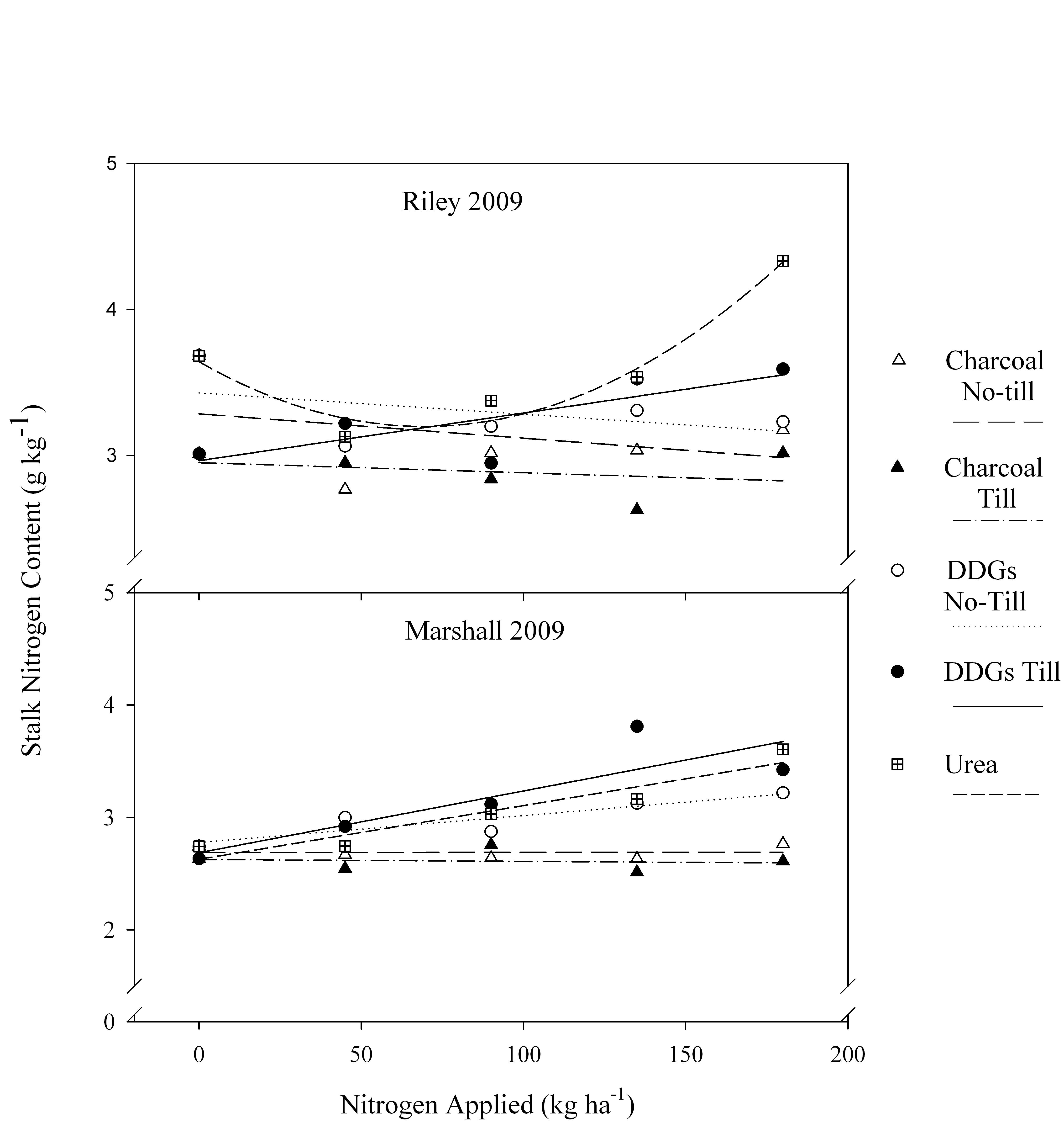
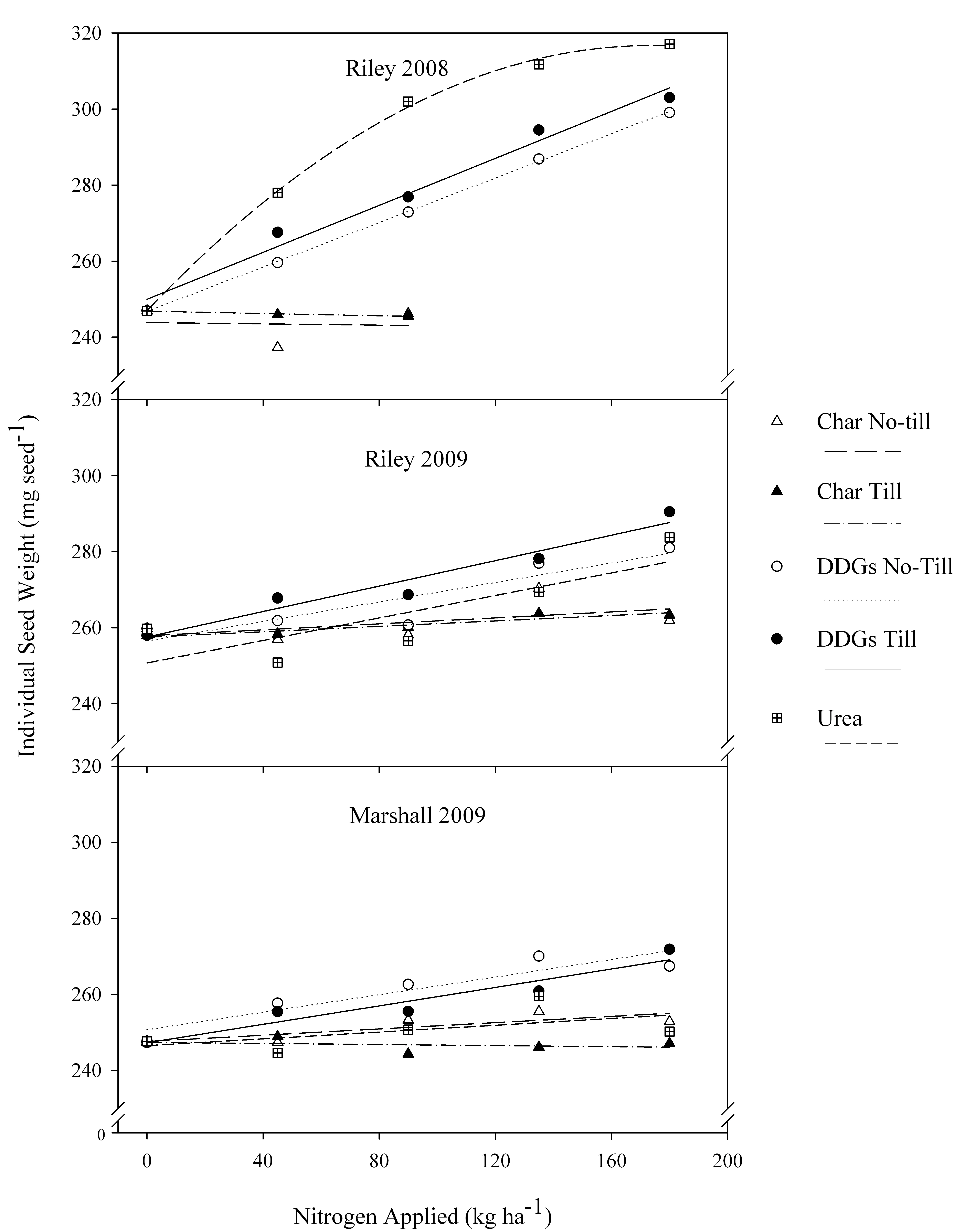
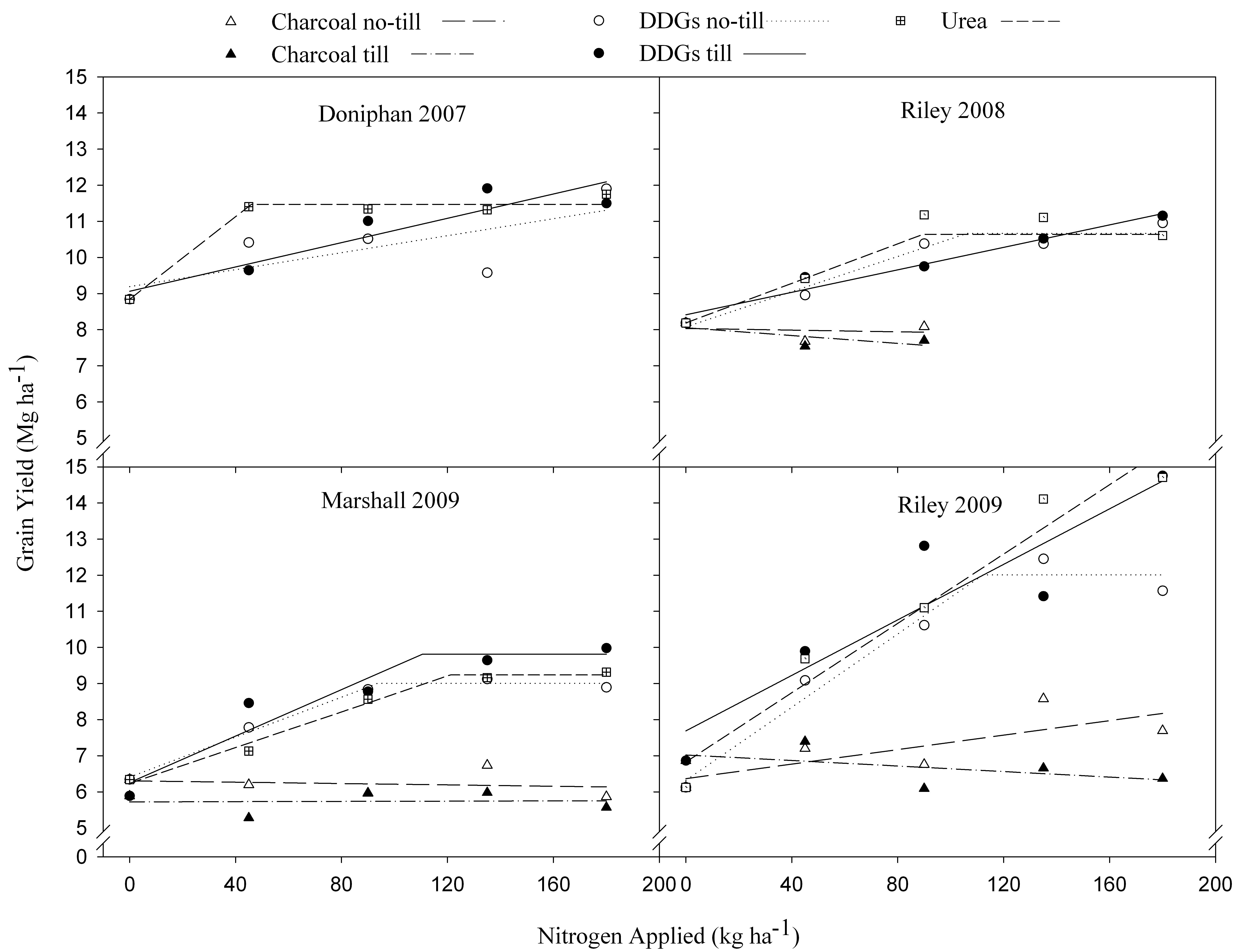
Increasing bio-energy production will result in increased by-products which will need proper disposal methods to prevent economic and/or ecological problems. Land application has potential for disposal and/or nutrient cycling if these by-products have crop nutritive value. Our objective was to compare the fertilizer effects of two by-products of bio-energy production, dry distillers grains with solubles (DDGs) and charcoal with urea in corn (Zea mays L.) and evaluate nutrient uptake. Treatments were DDGs under no-till and tilled at four location-years and charcoal under no-till and tilled at three location-years. No-till urea was used as a baseline at all location-years. Nitrogen rates ranged from 0 to 180 kg N ha[superscript]−1. All materials were spring applied before tillage and planting. Corn yields for DDGs and urea were similar across tillage treatments and locations. Corn yields over all charcoal rates and tillage treatments were the same as 0 kg N ha[superscript]−1. The charcoal, because of immobilization or lack of decomposition, did not contribute to the corn N nutrition. Neither material showed any negative effects on the corn yields. Stalk N, P, K, and grain N followed expected trends and had few effects compared with those from urea. Land application of DDGs and charcoal has merit for disposal/N cycling with DDGs being preferred for its N contribution.

Description

Citation: Shroyer, K. J., S. A. Staggenborg, and J. L. Propheter. “Utilization of Dry Distillers Grains and Charcoal as Nitrogen Fertilizer in Corn.” Agronomy Journal 103, no. 5 (2011): 1321–28. https://doi.org/10.2134/agronj2010.0447.

Keywords

Dry distillers grains, Charcoal, Nitrogen fertilizer, Corn, Bio-energy production by-products

Citation