Soybean yield and yield component response to plant density in narrow row systems

Abstract

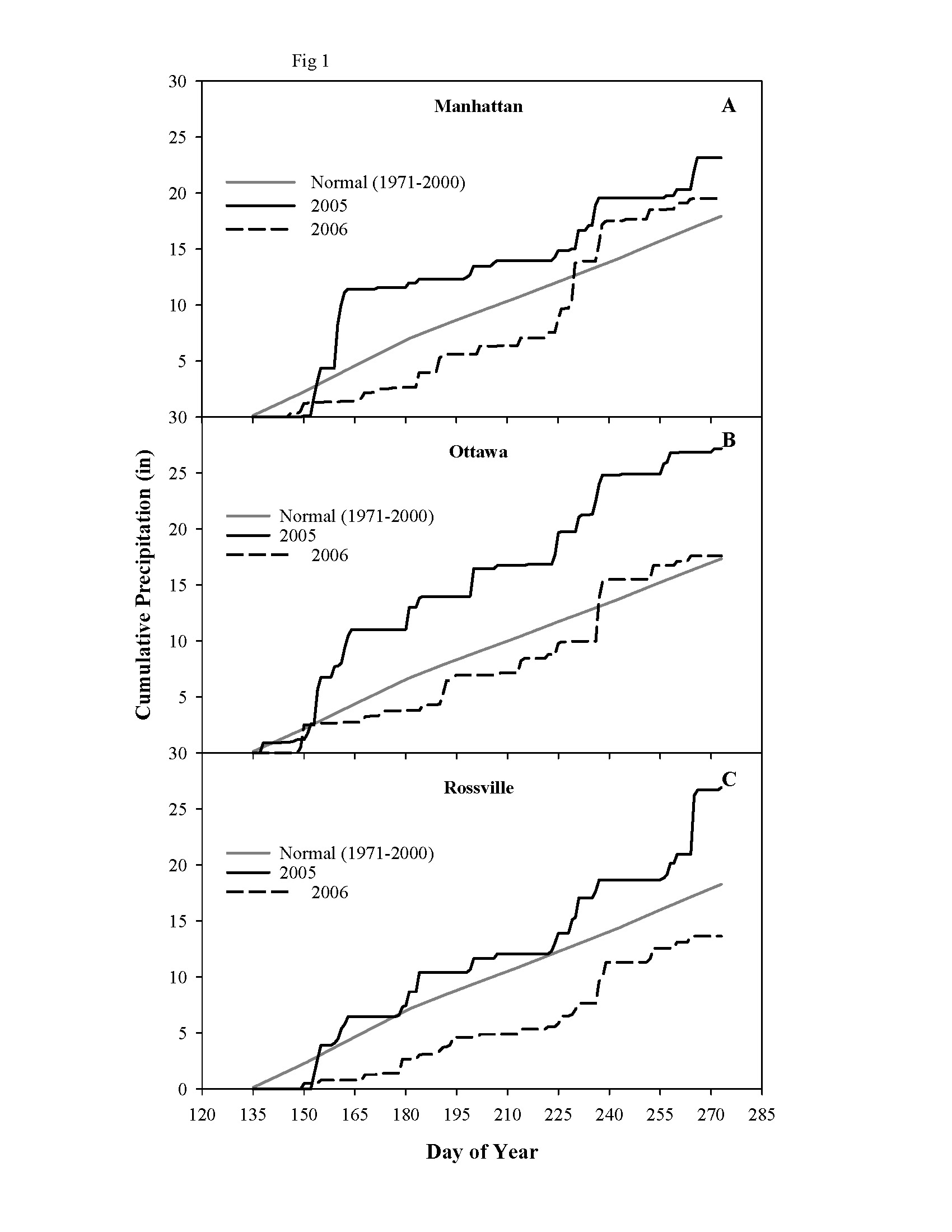
Soybean (Glycine max) yield is responsive to changes in plant population and row spacing under dryland conditions. Soybean seeding rate recommendations in many states were developed prior to the release of herbicide tolerant varieties when soybean seed costs were lower. As a result, many recommendations are high, and soybean performance at low plant densities in narrow rows needs to be reevaluated. This study was conducted to evaluate soybean yield response to plant density in narrow row, drilled systems (7.5 and 15 in) and evaluate the effects of plant population on yield components. The study was conducted in six environments with optimum plant populations ranging from 80 000 to 140 000 plants acre-1. The two yield components responsible for the yield optimization were pods plant-1 and pods acre-1. As plant population increased, pods plant-1 decreased steadily; however, yield was not reduced either year of the study by the loss of pods plant-1 because pods acre-1 increased as plant population increased. The optimum seeding rates for each year of the study were below the 150 000 to 160 000 plants acre-1 seeding rate normally recommended in the region. The decreased optimum plant populations in both years did not adversely affect yield and might be useful in reducing input costs in dryland soybean production.

Description

Citation: Epler, M., and Staggenborg, S. 2008. Soybean yield and yield component response to plant density in narrow row systems. Crop Management doi:10.1094/CM-2008-0925-01-RS.

Keywords

Soybeans, Narrow row, Plant density, Yield, Plant height, Pod number

Citation